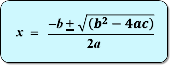
Rumus

Contoh
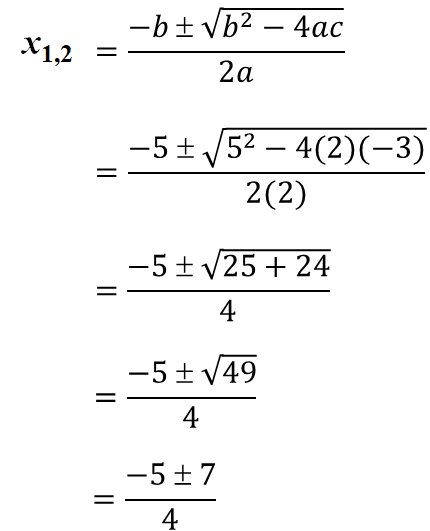
CONTOH 1
Tentukan penyelesaian dari
2x2+ 5x – 3 = 0

2x2+ 5x – 3 = 0


Jadi akar-akar yag terbentuk :


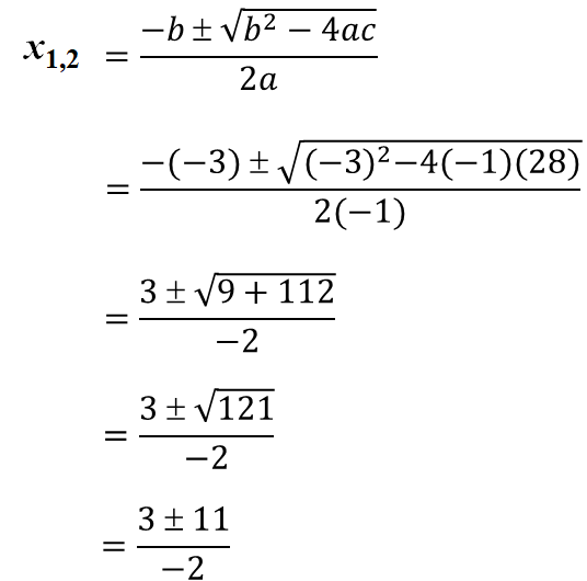
CONTOH 2
28 – 3x = x2






Penjelasan materi di atas bisa kalian saksikan pada video berikut ini.
Selamat belajar…
Latihan
1) 2p2 – p – 6
2) 3x2 + 2x – 5
3) 2m2 – 5m – 12
4) 2x2 – 12x – 14
5) 3x2 – 2x – 1
6) 6x2 – 10x – 4
7) 4x2 + x – 3
8) 12a2 + 16a – 3
9) x2 + 9x + 20
10) y2 – 4y – 24