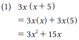
Untuk perkalian bentuk suku tunggal (Monom) dan suku banyak (Polinom), kita dapat gunakan hukum distributif perkalian dengan menghilangkan kurungnya.
A. PERKALIAN ALJABAR









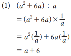
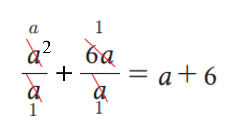
B. PEMBAGIAN ALJABAR










A. PERKALIAN

B. PEMBAGIAN

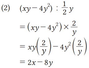
C. PERKALIAN DAN PEMBAGIAN

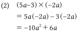
Untuk perkalian bentuk suku tunggal (Monom) dan suku banyak (Polinom), kita dapat gunakan hukum distributif perkalian dengan menghilangkan kurungnya.
A. PERKALIAN ALJABAR









B. PEMBAGIAN ALJABAR










A. PERKALIAN

B. PEMBAGIAN

C. PERKALIAN DAN PEMBAGIAN
